série 3-PE6 de ligne de transmission 2021
TD3-ligne de transmission :lignes chargées-Abaque de Smith 2021 S6
Exercice 1:
Exercice 2:
Une ligne de transmission sans pertes, de longueur d=2.5 m, d'impédance caractéristique réelle ZC=50𝞨 est chargée par une impédance complexe ZL=(50-100j)𝞨. La tension incidente a une amplitude maximal A1=1 Volts (𝞴 =1.5 m).
1-au niveau de la charge déterminer:
- L'admittance complexe YL
- le coefficient complexe de réflexion en tension,
- le coefficient complexe de réflexion en courant,
- L'amplitude de la tension,
- L'amplitude du courant.
3-Déterminer les distances par rapport à la charge et la valeur des minima ou nœuds de tension.
4-Déterminer le Rapport d'Ondes Stationnaires.
5-Déterminer les distances par rapport à la charge et la valeur des maxima ou ventres de courant.
6-Déterminer les distances par rapport à la charge et la valeur des minima ou nœuds de courant.
7- A une distance L=194 cm de la charge déterminée
- L'impédance complexe de charge ramenée .
- le coefficient complexe de réflexion en tension .
- L'amplitude de la tension .
- le coefficient complexe de réflexion en courant.
- L'amplitude du courant.
8-La valeur de Rmax et les distances par rapport à la charge ou l'on a Rmax.
9-La valeur de Rmin et les distances par rapport à la charge ou l'on a Rmin.
10-L'impédancee complexe Ze et L'admittance complexe Ye d'entrée de la ligne.
Exercice 3:
Exercice 4:
Exercice 5:
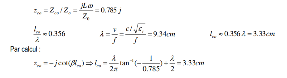
On considère une ligne de transmission sans pertes, d'impédance caractéristique Z0=100𝞨 et de permittivité effective relative 𝞮r=1.65.
Déterminer la longueur de stub en circuit ouvert ou en circuit fermé permettant de réaliser à la fréquence f=2.5 KHZ
1)- une capacitance C=5pF
2)- une inductance L=5nH
Exercice 6:
une ligne de transmission sans pertes est terminée par une charge ZL=100𝞨.
Déterminer l'impédance caractéristique de cette ligne sachant que le ROS=1.5.
Exercice 7:
Correction de TD3 de lignes transmission SMP6 2021
Corrigé D'exercice 1:
Corrigé D'exercice 2:

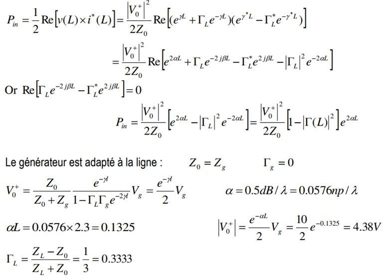
Corrigé D'exercice 4:
Bienvenue
Nous espérons que cet article vous plaira et vous sera utile
Remarque
Que la paix soit sur toi
bienvenu à tous
Je voudrais signaler quelques problèmes liés aux sujets que je publie. Si vous rencontrez un problème, comment il s'est passé, par exemple, vous répondez au sujet au format PDF, n'hésitez pas à le dire dans un commentaire, ou que la position, la leçon ou l'exercice comporte une erreur, merci d'en avertir tout le monde, s'il vous plaît et n'oubliez pas de vous aider Nous le publions, alors ne lésinez pas sur vos amis pour que tout le monde puisse en bénéficier. de mes salutations, avec mes meilleurs vœux de réussite à tous.
Mots-clés pour faciliter la recherche
Cours, travaux pratique, travaux dirigé , pdf, SMP6, S6, TD, TP, coures de ligne de transmission, cours de traitement du signale , cours d'automatique , coures d'électronique numérique, examens de ligne de transmission, examens d'automatique, examens de traitement du signal, examens d'électronique numérique, Résumé, travaux pratique d' automatique, travaux pratique de traitement du signal, travaux pratique d'électronique numérique, travaux pratique de ligne de transmission, TD d'automatique S6, TD de traitement du signal S6, TD de ligne de transmission S6, TD d'électronique numérique S6,
![TD3-ligne de transmission :lignes chargées-Abaque de Smith 2021 S6 [PDF] TD3-ligne de transmission :lignes chargées-Abaque de Smith 2021 S6 [PDF]](https://blogger.googleusercontent.com/img/b/R29vZ2xl/AVvXsEiO1DgpJ1E6tsyB2rdqraMW1SvsKpopC7GwTAjZq59a_7-AhSIulQRzZo6sA-m8k9J98lPJniK7lPMc3qes_QJo8u_Eg8I9zHE0SGOBtaOuLYXy6X1rrF9NZ5D_CfUQov3yaSAd1J9ANBDB/s16000/image.png)






































0 تعليقات